直流100Vと交流100Vはどう違う?
コンセントの電圧は100Vですが、これって交流ですね。西日本は60Hz、東日本は50Hzです。直流100Vと交流100V が同じはずはありません。交流でも1,200Wのドライヤーは12Aなどと単純に計算していますね。これは一体どういうことかと考えてみました。
直流100Vと交流100V はどう違う?

直流100Vと交流100V
交流の電圧は絶えず変化しています。
なのに何故100Vと言えるのでしょう。
結論から言えば、実効値と謂われる公称値だからです。
つまり直流の100Vに相当するということです。
直流の100Vと同じ仕事をするということです。
コンセントの交流100V とは実効値のこと
交流電圧は一般的に V=Vmsin (ωt)で表されます。
Vmは交流電圧の最大値、ωは角速度で2πf、fは周波数、tは時間(秒)です。
つまり正弦波形なんですね。
一つのサイクルで図のような波形になります。
西日本なら1秒間に60回このサイクルが繰り返されます。
図の正弦波の90°と270°のところが最大値です。
最大値の1/√2が実効値です。
つまり家庭のコンセントに来ている電圧が100Vというのはこの実効値のことです。
最大値は約141Vです。
瞬間的に最大約141Vが来ているわけです。
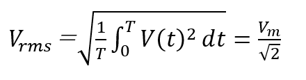
実効値の計算
実効値は

実効値
の計算で求められます。
つまりコンセントの100Vは最大値Vmの1/√2の値のことを言っているわけです。
殆どの人はこれを知らずに、交流100Vなどと何も考えず言っているわけですね。
この実効値のお陰で直流と同じ様にアンペアを計算できます。
普通、20Aのブレーカーがメインの下に配置されています。
20Aを超えないように直流と同じ様に計算できます。
20Aということは2kWまでということです。
テーブルタップに照明など他の家電を考慮して1,500Wまでとよく書かれているのはこのせいでしょう。
実は同じではない
交流のほうが危険
身近に直流の100Vはないのでよく分かりませんが、一般に交流のほうが5~6倍危険だといわれています。
交流に触れると持続的な筋収縮が生じるため、電源を握った手が離せなくなる場合が多いそうです。50mAでも死亡することがあるそうです。
直流に触れても筋収縮が単発になりやすく、筋収縮が強くても弾き飛ばされるだけで済む場合がよくあるそうです。
参考文献
https://www.denso-osaka.com/news/181073.html
スイッチが大きくなる
学生の時に直流100Vだとマッチ箱ほどの大きさのスイッチが必要だと教わりました。
昔あった一片が10センチはある大きい箱です。
絶えず同じ方向に電流が流れているので、それだけ大きくないといけないというのです。
本当でしょうか。これについてはよく分かりません。
まとめ
交流の100Vは実効値といわれるもので、直流の100Vと同じ仕事をするということです。
電圧は実際には-141V~+141Vまで変化しているわけです。
なんかややこしいですね。
とにかく実効値なので直流と同じ様に計算できるということです。


コメント