Wordのインク数式 の書き方
Wordのインク数式 の書き方 を紹介します。
Wordで数式を描くのはちょっと大変です。アルファベットの右下に小文字が有る場合には用意された数式のテンプレートでは上手くいきません。
これはWordPressのプラグインでも同じです。
そこで苦肉の策としてWordのインク数式という機能を使いました。
要は手書きの数式を活字に変換するものです。
Wordのインク数式 の書き方

Wordのインク数式
要するにWordで描いた数式をスクリーンショットとして取り込み、画像としてブログに貼り付けようというわけです。
SEO対策には役に立ちませんが、苦肉の策です。
Wordのインク数式 が便利な理由
インク数式が便利なのは
- アルファベットの上や下の小文字が使える
- 複雑なプログラミングが必要ない
- 修正が視覚的にできる
といったところです。
Wordのインク数式 の実例
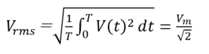
例えば、Vmといったアルファベットの下に小文字が有る文字は数式タグに用意されたテンプレートでは使えません。
もちろん単体ではホームタグの「下付き」のX2で出来ますが、数式の中では使えません。
そこで次の手順で作りました。
「挿入」→「π数式」から「インク数式」を選びます
「挿入」タブから右端の「π数式」選びます。右端の矢印ではなく「パイ数式」自体をクリックします。

数式を選択
次に右端の「インク数式」をクリックします。

インク数式を選択
これで手書き入力ができるようになります。
手書きで入力
図のような「数式入力コントロール」なるウィンドウが表示されますので、マウスで数式を入力します。

手書き入力
輪投げ機能で修正
Vrmsはホームタグの「下付き」(X2)機能で出来ますが、数式の中のVmでは下付きは使えません。
WordPressのプラグインである「Simple MathJax」でもHTMLの<sub>は使えません。
そこで図のように輪投げ機能で修正したい文字を選んで、表示される候補の中から選んで修正します。

大文字に変換.1

大文字に変換.2

大文字に変換.3
もっと簡単な方法があるかも知れません
WordPressの場合、プログラミングができれば他にも方法があるでしょう。
しかし、急には間に合いませんので、取り敢えず苦肉の策でやってみました。
Wordにこういう機能が有るのを知らない人もいるでしょう。
まとめ
Wordに手書きで数式が入力できる機能があるのを最近まで知りませんでした。
知らない人も多いと思いますので紹介してみました。
それにしても技術の進歩には驚かされますね。


コメント